Omron Limit Switches & Sensors: IP67 Waterproof, 30M+ Cycle Life for Industrial Automation

Durable & vibration-resistant Omron sensors deliver stable precision positioning for harsh industrial automation environments

Omron Industrial Automation Products: Precision Sensors, Limit Switches & Smart Solutions

Elevate your manufacturing efficiency with Omron’s industry-leading automation components, engineered to deliver uncompromising performance in the most demanding industrial environments. Our comprehensive portfolio includes Omron limit switches, proximity sensors, photoelectric sensors, and integrated control systems designed to solve complex production challenges while reducing operational costs.

Omron Limit Switches: Durability Meets Precision

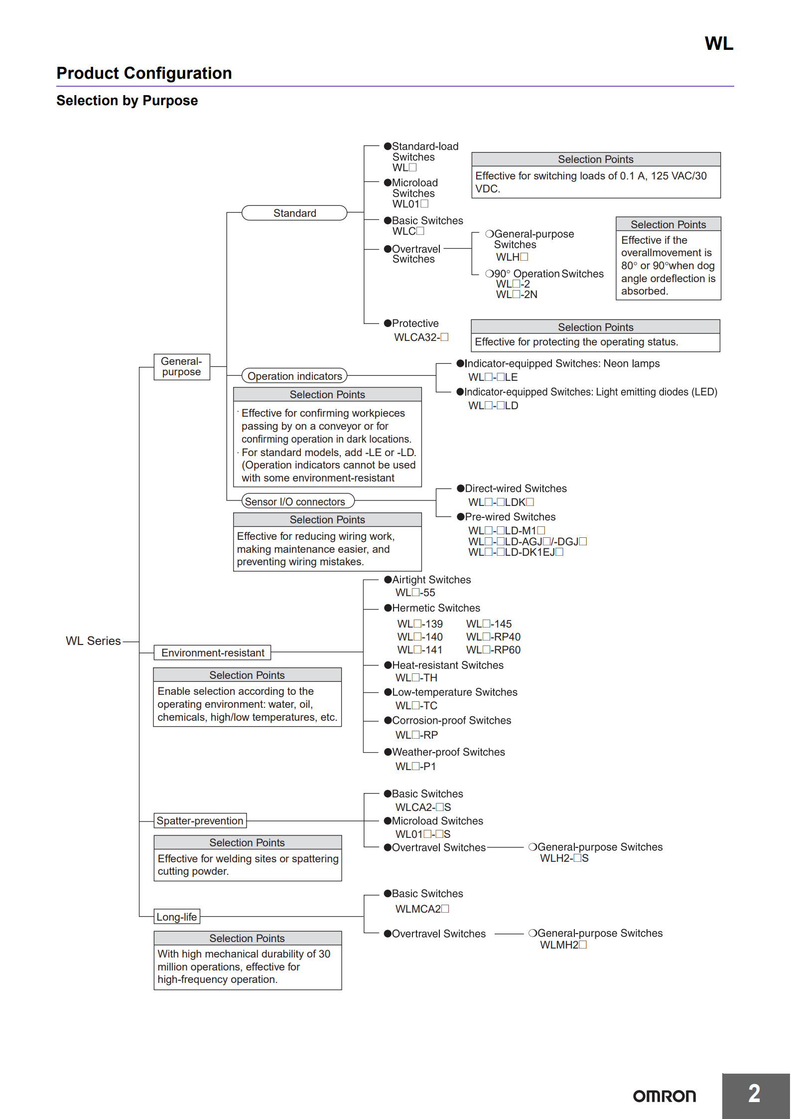
Omron’s WL series limit switches set the standard for reliability, featuring IP67 waterproof construction and 30 million+ cycle life to withstand harsh conditions like welding splatter, extreme temperatures, and corrosive chemicals. Choose from specialized models including high-seal type for food processing, heat-resistant variants for automotive assembly lines, and slim-profile designs for tight spaces. Equipped with visible action indicators and multiple wiring options, these switches simplify maintenance and ensure precise position control in conveyor systems, packaging machinery, and elevator safety applications.

Omron Proximity Sensors: Non-Contact Detection Excellence

Our E2B series proximity sensors redefine cost-performance with double the detection distance of standard models and 360° visibility LED indicators for easy status monitoring. Built with Omron’s proprietary hybrid technology, these sensors combine epoxy resin durability with cost-effective manufacturing processes, delivering consistent performance in oil mist environments and dusty production floors. With over 372 models available, including inductive sensors for metal detection and capacitive variants for non-metallic targets, you’ll find the perfect solution for counting, positioning, and object detection in semiconductor packaging and logistics sorting systems.

Omron Photoelectric Sensors: Versatile Detection for Every Application

From the compact E3Z series to the fiber-optic E32 series, Omron photoelectric sensors offer ultra-fast response times and micron-level precision for diverse applications. The E3ZG series, released in 2025, enhances background suppression capabilities and extends detection ranges up to 20 meters, making it ideal for transparent bottle inspection and long-distance object detection. With IP67 protection and resistance to ambient light interference, these sensors ensure reliable operation in food and beverage packaging, pharmaceutical manufacturing, and robotic assembly lines.

Integrated Automation Solutions